我的地大!  - 地大北京BBS

 找回密码
 申请帐号

QQ登录

只需一步,快速开始

查看: 5351|回复: 7

求解!!!数学难题!

[复制链接]
发表于 2013-1-3 14:12:04 来自手机频道 | 显示全部楼层 |阅读模式
求不定积分∫sinx/cos∧3x dx ,代换sinx和代换tanx 结果怎么不一样啊?
回复

使用道具 举报

发表于 2013-1-3 14:18:02 | 显示全部楼层
看着这个突然发现我的高数白学了。。
回复 支持 反对

使用道具 举报

发表于 2013-1-3 14:32:03 | 显示全部楼层
另外补充一下,楼主的题有点歧义。到底是
第二种.PNG
还是
第一种.PNG
另外
第三.PNG
或者
第四.PNG

点评

挨着接一遍就是了^^  发表于 2013-1-4 01:40
我不知道你怎么打出来这种公式的····也要膜拜一下  发表于 2013-1-3 22:54

评分

参与人数 1金钱 +10 收起 理由
好肥一棵树 + 10 大神啊,膜拜

查看全部评分

回复 支持 反对

使用道具 举报

发表于 2013-1-3 15:49:15 | 显示全部楼层
我也对楼主的题目是什么不太清楚。
回复 支持 反对

使用道具 举报

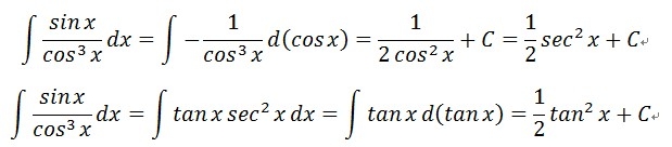
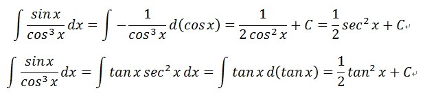
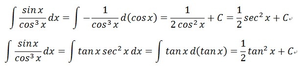
发表于 2013-1-3 21:18:44 | 显示全部楼层
不知LZ说的是不是这个意思?
QQ截图20130103211850.jpg
回复 支持 反对

使用道具 举报

发表于 2013-1-3 21:22:51 | 显示全部楼层
不管题目我有没有理解对,但有一点是可以肯定的,不定积分可以有多个结果,只要反过来求微分对的上,结果都是对的。
回复 支持 反对

使用道具 举报

 楼主| 发表于 2013-1-4 08:18:54 来自手机频道 | 显示全部楼层
Answer·Raul 发表于 2013-1-3 14:32
另外补充一下,楼主的题有点歧义。到底是

还是

是最后一个,是求sinx除以(cosx)的三次方的不定积分,没有后面的那个x.呵呵,现在已被一位大神搞定了。
回复 支持 反对

使用道具 举报

 楼主| 发表于 2013-1-4 08:30:35 来自手机频道 | 显示全部楼层
行之 发表于 2013-1-3 21:18
不知LZ说的是不是这个意思?

是是是,就是这个意思,我现在已经搞明白了。
回复 支持 反对

使用道具 举报

您需要登录后才可以回帖 登录 | 申请帐号

本版积分规则

QQ|联系我们|小黑屋|手机版|Archiver|京公网安备11010802010363号|地大北京BBS ( 京ICP备08104328号-16 )

GMT+8, 2025-12-10 09:31 , Processed in 0.083762 second(s), 20 queries .

Powered by Discuz! X3.4

© 2001-2017 Comsenz Inc.

快速回复 返回顶部 返回列表